|
 |
| |
酞磺胺噻唑 |
| |
|
別 名:
|
羧苯甲酰磺胺噻唑 PST
|
|
CAS NO.:
|
85-73-4
|
|
分子式:
|
C17H13N3O5S2=403.4
|
|
性 狀:
|
本品為白色或類白色結晶粉末,無臭,置光線下外觀色漸深,能溶于氫氧化堿和二甲替甲酰胺中,在乙醇中微溶,幾乎微溶于水和氯仿中。熔點為198-204℃
|
|
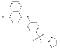
結構式:
|
|
|
適應癥:
|
用于胃腸道細菌感染,細菌性痢疾、細菌性潰瘍性腸炎亦可用于腸道手術后預防感染。
|
|
藥理作用:
|
本品口服吸收不良,在大腸內緩慢分解出磺胺噻唑。僅有5%被大腸吸收,在大腸內的抗菌作用較SG為強,超過SST為2-4倍。
|
|
質量標準:
|
BP2002
|
|
酸 度:
|
≤1ml
|
|
氯化物:
|
≤0.014%
|
|
干燥濕重:
|
≤2%
|
|
熾灼殘渣:
|
≤0.1%
|
|
重金屬:
|
≤20PPM
|
|
芳香胺及有關物質:
|
≤2%
|
|
含 量:
|
98.5-101.5%
|
|
|
|
|
|